Todo sobre los Beriev A-50 Mainstay y A-100 Premier...y sus derivados Chinos, Indios y Norcoreanos

Grulla

Colaborador
Colaborador
Yo creo que se merece su tema el equivalente soviético del Sentry que no parece haber tenido una operación muy destacada en la Operación Especial en Ucrania

Hablemos brevemente del AWACS ruso, el Beriev A-50. Desarrollado sobre la base del transporte táctico Ilyushin IL-76MD durante la década de 1970 para reemplazar al Tu-126 Moss/Izd. L ( derivado del Tu-114), que entró en servicio en 1965.

Gsnom1TWgAAoy1r



El Tu-126 Moss, equipado con el sistema de radar Liana, tiene sus problemas (falta total de confort, capacidades de detección reducidas, fuertes vibraciones generadas por los motores NK-12MV, etc.):

(¡Advertencia! La música del vídeo es horrible)




En 1969, el Consejo de Ministros de la URSS publicó una directiva que iniciaba los trabajos sobre un nuevo sistema de radar de a bordo, el E-821 Shmel, así como sobre una nueva plataforma para este último. Se están evaluando varios vectores:

- Tu-95
- Tu-142M
- Tu-126
- Tu-154

Los Tu-95 y Tu-142M = > rechazados: fuselajes demasiado estrechos para transportar todo el equipo.
Tu-126 = > rechazado: las células ya no se producen y son perfectibles.
Tu-154B = > rechazado: falta de autonomía y espacio.

GsnuPWCXwAAX66U



GsnuPaRXEAAxruP




Queda un último: el Tupolev (Tu-) 156. Un avión completamente nuevo propulsado por cuatro motores a reacción D-30KP, que lleva el radar del sistema E-821 Shmel en un radón montado sobre dos pilones en la parte trasera del fuselaje. ¿No te recuerda a nada? Olía mucho a "Sentry-ski".

¡Pero maldita sea! Los funcionarios de VVS lo rechazan porque el avión no está (todavía) en producción y quieren una plataforma existente. (Es una pena que el Tupolev 156 fuera rechazado; habría sido perfecto como base para aviones cisterna, aviones de guerra electrónica, etc.)

GsnvAyNXQAA8uJj



GsnvA0SWQAA7KLU



Gsnw3WMWgAAQxwW



GsnvmQZWAAAAWyJ



sigue.....


 

Grulla

Colaborador
Colaborador
El 7 de agosto de 1969, Ilyushin recibió el encargo de desarrollar el proyecto IL-70, que es (en resumen) un transporte táctico IL-76 (en desarrollo desde 1966) adaptado para llevar el sistema de radar MNIIP Shmel. El Ilyushin IL-76 voló por primera vez el 25/03/1971.

Una cosa llevó a la otra y los técnicos e ingenieros se encontraron con una gran cantidad de problemas: dificultades en el desarrollo, complejidad en la integración de los equipos, problemas con la refrigeración de los dispositivos, rendimiento de detección insuficiente de todo el sistema, etc.

Gsny4dxXsAAonv3




En 1973, la oficina de diseño Beriev (especializada en este tipo de trabajo) recibió el encargo de desarrollar el nuevo AWACS que reemplazaría al Tu-126. Basándose en el trabajo del proyecto Ilyushin IL-70, Beriev crearía su propio proyecto integrando el conjunto Shmel de MNIIP en el IL-76.

Gsn58z6XQAAAdKS



Desarrollado por Beriev, el avión fue adoptado como Beriev A-50 / Izd.A que combina Ilyushin IL-76MD y E-821 Shmel / Izd.R. Dada la propensión de los soviéticos a crear los "microchips más grandes del mundo", el trabajo de desarrollo del nuevo AWACS va a ser una purga sin precedentes.

Se crearon tres prototipos (10, 15 y 20 Red) convirtiendo aviones IL-76 e IL-76M: el 10 Red (ex IL-76 codificado CCCP-86641) realizó su primer vuelo el 19 de diciembre de 1978. A pesar del nombre, es evidente que Beriev trabajó mano a mano con Ilyushin en este proyecto.

Gsn2hkxWoAAymJj



Gsn2hk0XgAAjOGd




Todos estos problemas se superarán (muy) lentamente, ya que el primer avión de producción salió de la fábrica en 1981: su desarrollo requirió muchos años de trabajo y la producción en serie no se inició hasta 1985 (es decir, 12 años después de la adjudicación a Beriev).

Gsn8R10XgAAGnZ5



Los primeros Beriev A-50 entraron en servicio en Šiauliai (Lituania) con la 67.ª Fuerza Aérea de la Fuerza Aérea Alemana (67.ª OAE DRLO) en 1984, sustituyendo al último Tu-126 Moss en activo. Los A-50 fueron transferidos posteriormente a Pechora (Beryozovka) en 1988.

Gsn-uJSWgAAk_Rz




Tras pasar a manos de Rusia al final de la era soviética, los Beriev A-50 fueron trasladados en 1998 a la base de Ivanovo Severniy (óblast de Ivanovo), donde siguen estacionados en 2025. La producción del A-50 debía detenerse ya en 1991: Rusia carecía de recursos para financiar tales dispositivos, y no tenía los medios para mantenerlo y operarlo. Además, la producción de células IL-76MD, que se realizaba en la fábrica TAPOICH de Tashkent (Uzbekistán), disminuiría muy rápidamente antes de desaparecer por completo.

Esto no impedirá la exportación del Beriev A-50 a la India (A-50EI) con tres ejemplares propulsados por equipos de a bordo PS-90A-76 y EL/W-2090 de las empresas israelíes IAI y ELTA.


GsoDP5qXsAAyqde




Pero volvamos a nuestros A-50 rusos. La base de Ivanovo recibió una veintena de A-50 rusos en su inventario ya en 1998. Sin embargo, algunos de los aviones están almacenados como bancos de órganos en un rincón de la base... ¡éstos han sido visibles (y fotografiados) durante años!

GsoDpLkXkAAtSdB



GsoD3M6XAAAX9Pc



Sigue.....
 
Última edición:

Grulla

Colaborador
Colaborador
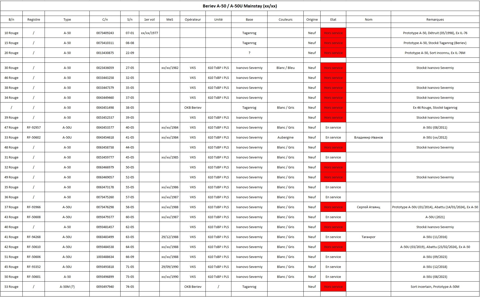
Está claro que estamos tratando con aeronaves que han sido atacadas (y/o destruidas) y que no han volado durante al menos 10 o 15 años. Para obtener más información sobre los A-50 en el inventario ruso: aviones activos (~10), modernizados, destruidos y aquellos almacenados. Vea la tabla adjunta.

GsoFRCpXwAAmIle



En última instancia, el ataque a Ivanovo demostró la total falta de protección en la base.

Pero la destrucción (?) de uno (o más) A-50 presentes en Ivanovo no tiene consecuencias directas para los rusos: los aviones en cuestión llevan mucho tiempo esperando ser desguazados.

El único elemento que podría "minimizar" el hallazgo es la hipótesis de la posible recuperación de piezas de repuesto del avión destruido.

Pero teniendo en cuenta que el almacenamiento se realiza al aire libre y sin ningún cuidado especial ("eso es normal en Rusia"), esto es (muy) improbable...

Obviamente, hay otras cosas que añadir sobre los AWACS rusos con la modernización al estándar A-50U y el todavía hipotético futuro A-100, pero eso será para otro momento en el blog.

Mientras tanto, se espera que en breve se anuncie el próximo A-50 actualizado al estándar A-50U.

Esta llegada, prevista para 2025, compensará (muy) ligeramente los dos A-50U derribados en 2024. Aunque es un hecho que los rusos necesitan un nuevo AWACS para reforzar sus limitadas fuerzas. ¡Que tengas una buena tarde (o día, depende de tu perspectiva!)


GsoIU2PWcAAzbTI



GsoIlYcWIAAlK63



 

Grulla

Colaborador
Colaborador
Continúa (¿y no es el final? ): la prensa rusa (re) habla sobre el regreso a la producción del A-50 (U) . Si bien la falta de AWACS rusos es evidente (especialmente con las pérdidas de los últimos años), una decisión de este tipo es, como mínimo, sorprendente:


A-50 U] UAC, filial de Rostec, decidirá sobre la producción en masa del avión de alerta temprana y control aéreo A-50 una vez finalizado el desarrollo actual. Así lo anunció a TASS el diseñador jefe y subdirector general de UAC.
G0OtVJ8XIAAN6Di


 
Última edición:

Grulla

Colaborador
Colaborador

Imágenes satelitales muestran los últimos avances en el ensamblaje de la nueva aeronave AEW&C de la Fuerza Aérea de Corea del Norte​

Redaccion Zona Militar - 10 marzo, 2025


upscalemedia-transformed-scaled.jpeg




Es registrado el primer vuelo de pruebas del nuevo avión AEW&C desarrollado por Corea del Norte para equipar a su Fuerza Aérea​

Redaccion Zona Militar - 27 marzo, 2025


Gm_2mTWbYAAlxxq.jpeg
 

Grulla

Colaborador
Colaborador

Ucrania anuncia el derribo de un avión AEW&C A-50 de las Fuerzas Aeroespaciales Rusas​

Por Redaccion Zona Militar - 15 enero, 2024


Airborne_early_warning_and_control_aircraft_A-50U_Red_41.jpg




Las Fuerzas Aeroespaciales Rusas sufren el derribo de otro avión de vigilancia y alerta temprana Beriev A-50​

Por Redaccion Zona Militar - 25 febrero, 2024


A-50-Rusia-UAC.jpg
 

Grulla

Colaborador
Colaborador

El A-100 ruso, repleto de antenas, es probablemente más que un simple avión radar.

Pueden ser capaces de recopilar señales de inteligencia, actuar como puestos de mando volantes o incluso lanzar ataques electrónicos.

José Trevithick - 29 de junio de 2019

a-100-1.jpg



El primer prototipo Beriev A-100, que será el avión de control y alerta temprana aerotransportado más nuevo de Rusia , ha realizado su primer vuelo, y la Fuerza Aérea Rusa espera obtener los primeros ejemplares para 2020. Además de su prominente cúpula de radar en la parte superior, las antenas cubren partes significativas del avión, lo que sugiere que United Aircraft Corporation, o UAC, está avanzando con los planes informados de hacer del diseño una plataforma multipropósito de comando y control, guerra electrónica y recopilación de inteligencia.

El 18 de noviembre de 2017, el prototipo inicial del A-100 realizó su primer vuelo desde el Complejo Científico y Técnico de Aviación de Taganrog (TANTK), situado cerca del Mar de Azov, entre Rusia y Ucrania. La UAC utilizó un avión de transporte Il-76MD-90A existente para crear este "laboratorio volador", denominado específicamente A-100LL , que servirá como banco de pruebas para garantizar la robustez aerodinámica de las diversas antenas y carenados, y el correcto funcionamiento de los radares y otros sistemas. Según se informa, las versiones de producción utilizarán fuselajes Il-76MD-90A de nueva construcción, también conocidos como Il-476, y reemplazarán a los aviones de radar Mainstay A-50M y A-50U existentes de la Fuerza Aérea Rusa .

“Esta es una de las prioridades del actual programa de adquisición de armas”, dijo el viceministro de Defensa ruso, Yuri Borisov, sobre el avión en marzo de 2017. En septiembre de 2016, el ministro de Defensa ruso, Sergei Shoigu, se había jactado de que el A-100 sería “superior a sus equivalentes extranjeros”.

En un comunicado de prensa oficial , la UAC afirmó que los A-100 podrían detectar objetivos aéreos y terrestres a larga distancia y ayudar a dirigir aviones de combate y de ataque hacia sus objetivos en el aire, la tierra y el mar. Anteriormente, funcionarios rusos habían afirmado que el nuevo diseño podría detectar y rastrear a prácticamente cualquier enemigo, incluyendo misiles de crucero de vuelo bajo y aviones furtivos.



El prototipo A-100LL, UAC
editor de mensajes%2F1511222387873-a-100.jpg
El prototipo A-100LL, UAC
 

Grulla

Colaborador
Colaborador

Las sanciones occidentales están provocando retrasos en la implementación del nuevo avión radar ruso A-100, según un informe.


El tan necesario A-100 Premier ya va con retraso y no entrará en servicio hasta al menos 2024.

Thomas Newdick - 3 de febrero de 2022

A-100_PREMIER_PROTOTYPE.jpg



Las sanciones occidentales impuestas a Rusia están provocando retrasos en el avión de alerta temprana y control aéreo (AEW&C) de próxima generación del país, el A-100 Premier , según informes de una influyente publicación militar rusa. El A-100, cuyo objetivo es proporcionar una ventaja significativa sobre el A-50 Mainstay de la década de 1980 , ahora operado por las Fuerzas Aeroespaciales Rusas (VKS), no se espera que esté disponible hasta 2024, mientras que existe una creciente preocupación de que su predecesor carezca de capacidades que serían críticas en las batallas modernas de alto nivel. El programa Premier se lanzó en 2006 y se esperaba que el A-100 estuviera desplegado a finales de 2020.

Un artículo reciente del periódico militar y de defensa Voyenno-Promyshlenny Kuryer describe el retraso en el plazo de entrega del A-100, citando a una fuente anónima del Ministerio de Defensa ruso. El motivo del retraso son los retrasos en la entrega de componentes electrónicos para la aeronave, incluidos microchips, como consecuencia de las sanciones, algunas de las cuales han sido impuestas a Rusia en los últimos años por la Unión Europea , Estados Unidos y algunos países .

https://playwire.com/?utm_source=pw_ad_container

 

Grulla

Colaborador
Colaborador

Se cancela el proyecto del avión de alerta temprana y control aerotransportado A-100 "Premier"

Aparentemente, no se pudieron resolver los problemas con los componentes


Se ha cerrado el programa de desarrollo del avión ruso de alerta temprana y control aerotransportado (AEW&C) A-100 "Premier". Así lo anunció un ex piloto y autor del canal de Telegram Fighterbomber.

Según él, el modelo A-100 existe actualmente en un solo ejemplar y está lejos de la planta de aviación Beriev en Taganrog, donde fue construido.


El proyecto A-100 está cerrado desde hace mucho tiempo. Todos los aviones serán desguazados o convertidos en estrellas de la muerte.
Fighterbomber


A-100 «Премьер»
A-100 «Премьер»
 
Arriba